Publications

What we do and what we did


2026
Molbank
Matevž Schweiger, Luka Ciber, Nejc Petek, Franc Požgan, Jurij Svete, Bogdan Štefane and Uroš Grošelj
Synthesis of (S)-4-Benzyl-3-butyl-1-(2-cycloheptylethyl) imidazolidine
2026
ACS Medicinal Chemistry Letters
Tilen Zorko, Jan Kogovšek, Luka Ciber, Ivana Ostojić, Nenad Maraš, Marko Novinec and Bogdan Štefane
Lead Optimization: Synthesis and Biological Evaluation of Griseofulvin Derivatives as Novel SIRT6 Activators
2026
Molbank
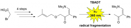
Andrej Bogataj, Luka Ciber, Nejc Petek, Franc Požgan, Jurij Svete, Bogdan Štefane and Uroš Grošelj
HAT-Initiated Fragmentation of 4-(Dimethylamino)-1-((3-methylbut-2-en-1-yl)oxy)-3-phenylbut-3-en-2-one
2026
Journal of Organic Chemistry
Ines Babnik, Nejc Petek, Uroš Grošelj, Jurij Svete and Bogdan Štefane
One-Pot Synthesis and Photochemical Diversification of Pyrazolo[1,2-a]pyridazinones into 3D-Rich Scaffolds
2026
Dyes and Pigments
Tadej Humar, Luka Ciber, Uroš Grošelj, Nejc Petek, Bogdan Štefane, Jurij Svete
Synthesis, structure, and optical properties of 3-(1H-1,2,3-triazol-1-yl)-substituted 4H-pyrido[1,2–a]pyrimidin-4-ones and 4H-quinolizin-4-ones
2026
Molecules
Aljaž Flis, Helena Brodnik, Nejc Petek, Franc Požgan, Jurij Svete, Bogdan Štefane, Luka Ciber and Uroš Grošelj
Fatty Acid and Amino Acid Derivatives in Organocatalyzed Michael Additions


2025
Molecules
Nadja Suhorepec, Luka Ciber, Uroš Grošelj, Nejc Petek, Bogdan Štefane, Marko Novinec and Jurij Svete
Synthesis of Bioconjugation Reagents for Use in Covalent Cross-Linking of Proteins by Azide-Alkyne Cycloaddition
2025
Molecules
Luka Ciber, Tjaša Koželj, Kaja Prosenak, Nejc Petek, Franc Požgan, Jurij Svete, Bogdan Štefane and Uroš Grošelj
Isocampholenic Acid Derivatives as Potential Fragrances
2025
Molbank
Luka Ciber, Helena Brodnik, Nejc Petek, Franc Požgan, Jurij Svete, Bogdan Štefane and Uroš Grošelj
Synthesis of (camphor-3-yl)acetic acid derived pyrazoles
2025
Molecules
Helena Brodnik, Luka Ciber, Uroš Grošelj, Nejc Petek, Bogdan Štefane and Jurij Svete
Preparation and Transformations of Acetophenone-Derived Enamino Ketones, BF2-β-Ketoiminates, and BF2-β-Diketonates
2025
Bioorganic Chemistry
Manca Jurajevčič, Lena Grošelj, Luka Ciber, Uroš Grošelj, Katarina Petra van Midden, Nejc Petek, Bogdan Štefane, Marko Novinec, Jurij Svete
Application of (aza)quinolizinyl-3-diazonium tetrafluoroborates in photocatalytic sulfanylation and in fluorescent labeling of proteins
2025
Food Chemistry
Varineja Drašler, Tomaž Polak, Bogdan Štefane, Helena Abramovič, Blaž Cigić
Palmitoylspermine: A potent antioxidant in bulk oil and emulsion
2025
Molecules
Nejc Petek, Tilen Zorko, Martin Škrinjar, Uroš Grošelj, Jurij Svete, Drago Kočar, Bogdan Štefane
Copper(I)-Photocatalyzed Addition of Trichloromethanesulfenyl Chloride to Olefinic Compounds


2024
Polymers
Tomaž Kotnik, Svit Menart, Žan Adam, Jan Bitenc, Luka Ciber, Uroš Grošelj, Nejc Petek, Bogdan Štefane, Jurij Svete and Boštjan Genorio
Synthesis and Redox Activity of Polyenaminones for Sustainable Energy Storage Applications
2024
Molecules
Miha Drev, Helena Brodnik, Uroš Grošelj, Franc Perdih, Jurij Svete, Bogdan Štefane and Franc Požgan
2-Bromopyridines as Versatile Synthons for Heteroarylated 2-Pyridones via Ru(II)-Mediated Domino C–O/C–N/C–C Bond Formation Reactions
2024
Molecules
Franc Požgan, Uroš Grošelj, Jurij Svete, Bogdan Štefane and Hamad H. Al Mamari
Recent Advances in the Nickel-Catalyzed Alkylation of C-H Bonds
2024
International Journal of Biological Macromolecules
Katarina P. van Midden, Melissa Mantz, Marko Fonovič, Martin Gazvoda, Jurij Svete, Pitter F. Huesgen, Renier A.L. van der Hoorn, Marina Klemenčič
Mechanistic insights into CrCEP1: A dual-function cysteine protease with endo- and transpeptidase activity
2024
Catalysts
Luka Ciber, Klara Klemenčič, Ana Golob, Helena Brodnik, Franc Požgan, Jurij Svete, Bogdan Štefane and Uroš Grošelj
Synthesis and Catalytic Activity of 1,2-Benzenediamine-Derived Organocatalysts Based on (1R,2R)-Cyclohexane-1,2-Diamine
2024
Advanced Synthesis and Catalysis
Nejc Petek, Helena Brodnik, Uroš Grošelj, Jurij Svete, and Bogdan Štefane
Access to β-Lactam Sulfonamides from Sulfamoyl Chlorides via Photoredox Catalyzed C–S Bond Formation
2024
Advanced Sythesis & Catalysis
Ines Kulašić, Nejc Petek, Helena Brodnik, Uroš Grošelj, Jurij Svete, Bogdan Štefane
Photocatalyst-Free Wavelength-Dependant Sequential Ring Transformations of Pyrazolo[1,2-a]pyrazolones


2023
Journal of Organic Chemistry
Kris Antolinc, Helena Brodnik, Uroš Grošelj, Bogdan Štefane, Nejc Petek, and Jurij Svete
Catalytic Photoredox C−H Arylation of 4‑Oxo‑4H‑pyrido[1,2‑a]pyrimidine-3-diazonium Tetrafluoroborates and Related Heteroaryl Diazonium Salts
2023
Molecules
Jan Šegina, Luka Ciber, Helena Brodnik, Franc Požgan, Jurij Svete, Bogdan Štefane, Uroš Grošelj
Synthesis of Six-Membered N-Heterocyclic Carbene Precursors Based on Camphor
2023
Molbank
Luka Ciber, Helena Brodnik, Franc Požgan, Jurij Svete, Bogdan Štefane, Uroš Grošelj
Synthesis of N1-(3,5-Bis(trifluoromethyl)benzyl)benzene-1,2-diamine and N,N-Bis(2-nitrophenyl)-3,5-bis(trifluoromethyl)aniline
2023
Molecules
Luka Ciber, Franc Požgan, Helena Brodnik, Bogdan Štefane, Jurij Svete, Mario Waser, Uroš Grošelj
Synthesis and Catalytic Activity of Bifunctional Phase-Transfer Organocatalysts Based on Camphor
2023
Molbank
Mišel Hozjan, Luka Ciber, Franc Požgan, Jurij Svete, Bogdan Štefane, Uroš Grošelj
tert-Butyl 2-Amino-3-cyano-5-oxo-4-phenyl-5,7-dihydropyrano[2,3-c]pyrrole-6(4H)-carboxylate
2023
Molbank
Luka Ciber, Franc Požgan, Jurij Svete, Bogdan Štefane, Uroš Grošelj
1-{(1S,2S,4R)-7,7-Dimethyl-1-[(pyrrolidin-1-yl)methyl]bicyclo[2.2.1]heptan-2-yl}-1H-benzo[d]imidazole
2023
The Journal of Organic Chemistry
Nejc Petek, Helena Brodnik, Oliver Reiser, Bogdan Štefane
Copper- and Photoredox-Catalyzed Cascade to Trifluoromethylated Divinyl Sulfones


2022
Polymers
Urša Štanfel, Tomaž Kotnik, Sebastijan Ričko, Uroš Grošelj, Bogdan Štefane, Klemen Pirnat, Ema Žagar, Boštjan Genorio, Jurij Svete
Synthesis of Optically and Redox Active Polyenaminones from Diamines and α,α’-Bis[(dimethylamino)methylidene]cyclohexanediones
2022
iScience
Vida Štrancar, Katarina P van Midden, Daniel Krahn, Kyoko Morimoto, Marko Novinec, Christiane Funk, Simon Stael, Christopher J Schofield, Marina Klemenčič, Renier A L van der Hoorn
Activity-based probes trap early active intermediates during metacaspase activation
2022
Catalysts
Luka Ciber, Franc Požgan, Helena Brodnik, Bogdan Štefane, Jurij Svete, Uroš Grošelj
Synthesis and Catalytic Activity of Organocatalysts Based on Enaminone and Benzenediamine Hydrogen Bond Donors
2022
Advanced Synthesis & Catalysis
Luka Ciber, Ana Gorenc, Mišel Hozjan, Franc Pozgan, Jurij Svete, Helena Brodnik, Bogdan Štefane, Uroš Grošelj
Enantioselective Organocatalyzed Functionalization of Tetramic and Tetronic Acids
2022
Molecules
Luka Vah, Tadej Medved, Uroš Grošelj, Marina Klemenčič, Črtomir Podlipnik, Bogdan Štefane, Jernej Wagger, Marko Novinec, Jurij Svete
Regioselective synthesis of 5- and 3-hydroxy-N-aryl-1H-pyrazole-4-carboxylates and their evaluation as inhibitors of Plasmodium falciparum dihydroorotate dehydrogenase
2022
Dyes and Pigments
Nejc Petek, Bibi Erjavec, Dejan Slapšak, Aljaž Gaber, Uroš Grošelj, Franc Požgan, Sebastijan Ričko, Bogdan Štefane, Marina Klemenčič, Jurij Svete
2-Acyl-1-aryl-6,7-dihydro-1H,5H-pyrazolo[1,2-a]pyrazole derivatives: Versatile fluorescent probes with remarkably large Stokes shift
2022
Advanced Synthesis & Catalysis
Luka Ciber, Sebastijan Ričko, Jure Gregorc, Franc Požgan, Jurij Svete, Helena Brodnik, Bogdan Štefane, Uroš Grošelj
Mechanistic Insights into Annulation of Arylidene-Δ2-pyrrolin-4-ones by Cinchona Squaramide-Based Organocatalysts


2021
Organic Letters
Nejc Petek, Helena Brodnik, Uroš Grošelj, Jurij Svete, Fran Požgan, Bogdan Štefane
Visible-Light Driven Selective C–N Bond Scission in anti-Bimane-Like Derivatives
2021
International Journal of Molecular Sciences
Selestina Gorgieva, Azra Osmić, Silvo Hribernik, Mojca Božič, Jurij Svete, Viktor Hacker, Sigrid Wolf, Boštjan Genorio
Efficient Chitosan/Nitrogen-Doped Reduced Graphene Oxide Composite Membranes for Direct Alkaline Ethanol Fuel Cells
2021
FEBS Letters
Katarina Petra van Midden, Tanja Peric, Marina Klemenčič
Plant type I metacaspases are proteolytically active proteases despite their hydrophobic nature
2021
Journal of Organic Chemistry
Hamad Al Mamari, Uroš Grošelj, Franc Požgan, Helena Brodnik
Regioselective Ru(II)/Pd(0) Dual Catalysis: One-Pot C–H Diarylation of Five-Membered Heterocyclic Derivatives
2021
Frontiers in Microbiology
Saul A Lema, Marina Klemenčič, Franziska Völlmy, Maarten Altelaar, Christiane Funk
The role of pseudo-orthocaspase (SyOC) of Synechocystis sp. PCC 6803 in attenuating the effect of oxidative stress
2021
Molecules
Urša Štanfel, Dejan Slapšak, Uroš Grošelj, Franc Požgan, Bogdan Štefane, Jurij Svete
Synthesis of 6,7-dihydro-1H,5H-pyrazolo[1,2-a]pyrazoles by azomethine imine-alkyne cycloadditions using immobilized Cu(II)-catalysts


2020
Frontiers in Bioengineering and Biotechnology
Tina Eleršek, Karel Flisar, Blaž Likozar, Marina Klemenčič, Janvit Golob, Tadej Kotnik, Damijan Miklavčič
Electroporation as a solvent-free green technique for non-destructive extraction of proteins and lipids from Chlorella vulgaris
2020
Molecular Cell
Elena A. Minina, Marko Dolinar, Marina Klemenčič
Classification and nomenclature of metacaspases and paracaspases : no more confusion with caspases
2020
Chemistry: A European Journal
Sebastijan Ričko, Joseph Izzo, Karl Anker Jørgensen
Insights on the pseudo-enantiomeric properties of bifunctional cinchona alkaloid squaramide-derived organocatalyst
2020
Tetrahedron
Hamad Al Mamari, Bogdan Štefane, Helena Brodnik
Metal-catalyzed C-H bond functionalization of phenol derivatives
2020
Catalysts
Sara Hrovat, Miha Drav, Uroš Grošelj, Franc Perdih, Jurij Svete, Bogdan Štefane, Franc Požgan
Conformationally driven Ru(II)-catalyzed multiple ortho-C-H bond activation in diphenylpyrazine derivatives in water : where is the limit?
2020
Catalysts
Nejc Petek, Uroš Grošelj, Jurij Svete, Franc Požgan, Drago Kočar, Bogdan Štefane
Eosin Y-catalyzed visible-light-mediated aerobic transformation of pyrazolidine-3-one derivatives
2020
Catalysts
Sebastijan Ričko, Žan Testen, Luka Ciber, Franc Požgan, Bogdan Štefane, Helena Brodnik, Jurij Svete, Uroš Grošelj
Double spirocyclization of arylidene-Δ2-pyrrolin-4-ones with 3-isothiocyanato oxindoles
2020
European Journal of Medicinal Chemistry
Anže Meden, Damijan Knez, Natalia Malikowska-Racia, Xavier Brazzolotto, Florian Nachon, Jurij Svete, Kinga Salat, Uroš Grošelj, Stanislav Gobec
Structure-activity relationship study of tryptophan-based butyrylcholinesterase inhibitors
2020
Inorganic Chemistry
Miha Drev, Uroš Grošelj, Drago Kočar, Franc Perdih, Jurij Svete, Bogdan Štefane, Franc Požgan
Self-assembly of multinuclear sandwich silver(I) complexes by cooperation of hexakis(azaheteroaryl)benzene ligands, argentophilic interactions, and fluoride inclusion
2020
Molecules
Sebastijan Ričko, Franc Požgan, Bogdan Štefane, Jurij Svete, Amalija Golobič, Uroš Grošelj
Stereodivergent synthesis of camphor-derived diamines and their application as thiourea organocatalysts


2019
Frontiers in Plant Science
Marina Klemenčič, Johannes Asplund-Samuelsson, Marko Dolinar, Christiane Funk
Phylogenetic Distribution and Diversity of Bacterial Pseudo-Orthocaspases Underline Their Putative Role in Photosynthesis
2019
Archives of Biochemistry and Biophysics
Mateja Rebernik, Tina Snoj, Marina Klemenčič, Marko Novinec
Interplay between tetrameric structure, enzymatic activity and allosteric regulation of human dipeptidyl-peptidase I
2019
Journal of Experimental Botany
Marina Klemenčič, Christiane Funk
Evolution and structural diversity of metacaspases
2019
Sensors
Anton Gradišek, Marion Van Midden, Matija Koterle, Vid Prezelj, Drago Strle, Bogdan Štefane, Helena Brodnik Žugelj, Mario Trifković, Ivan Kvasić, Erik Zupanič, Igor Muševič
mproving the Chemical Selectivity of an Electronic Nose to TNT, DNT and RDX Using Machine Learning
2019
Acta Pharmaceutica
Ana Testen, Miha Plevnik, Bogdan Štefane, Irena Kralj Cigić
Identification of new process-related impurity in the key intermediate in the synthesis of TCV-116
2019
Chemical Communications
Anže Meden, Damijan Knez, Marko Jukič, Xavier Brazzolotto, Marija Gršič, Anja Pišlar, Abida Zahirović, Janko Kos, Florian Nachon, Jurij Svete, Stanislav Gobec, Uroš Grošelj
Tryptophan-derived butyrylcholinesterase inhibitors as promising leads against Alzheimer's disease
2019
Bioorganic Chemistry
Nika Strašek, Lara Lavrenčič, Andraž Oštrek, Dejan Slapšak, Uroš Grošelj, Marina Klemenčič, Helena Brodnik Žugelj, Jernej Wagger, Marko Novinec, Jurij Svete
Tetrahydro-1H,5H-pyrazolo[1,2-a]pyrazole-1-carboxylates as inhibitors of Plasmodium falciparum dihydroorotate dehydrogenase
2019
Advanced Synthesis & Catalysis
Uroš Grošelj, Luka Ciber, Jan Gnidovec, Žan Testen, Franc Požgan, Bogdan Štefane, Gašper Tavčar, Jurij Svete, Sebastijan Ričko
Synthesis of Spiro‐Δ2‐Pyrrolin‐4‐One Pseudo Enantiomers via an Organocatalyzed Sulfa‐Michael/Aldol Domino Sequence
2019
Bioorganic Chemistry
Nejc Petek, Bogdan Štefane, Marko Novinec, Jurij Svete
Synthesis and biological evaluation of 7-(aminoalkyl)pyrazolo[1,5-a]pyrimidine derivatives as cathepsin K inhibitors
2019
European Journal of Organic Chemistry
Bogdan Štefane, Uroš Grošelj, Jurij Svete, Franc Požgan, Drago Kočar, Helena Brodnik Žugelj
The Influence of the Quinoline Moiety on Direct Pd‐Catalyzed Arylation of Five‐Membered Heterocycles
2019
European Polymer Journal
Anže Zupanc, Tomaž Kotnik, Urša Štanfel, Helena Brodnik Žugelj, Anja Kristl, Aleš Ručigaj, Lev Matoh, David Pahovnik, Uroš Grošelj, Till Opatz, Franc Požgan, Bogdan Štefane, Ema Žagar, Jurij Svete
Chemical recycling of polyenaminones by transamination reaction via amino–enaminone polymerisation/depolymerisation


2018
The New Phytologist
Marina Klemenčič, Christiane Funk
Type III metacaspases: calcium‐dependent activity proposes new function for the p10 domain
2018
Protoplasma
Marina Klemenčič, Christiane Funk
Structural and functional diversity of caspase homologues in non-metazoan organisms
2018
Dyes and Pigments
Miguel Ponce-Vargas, Bogdan Štefane, Elena Zaborova, Frédéric Fages, Anthony D'Aléo, Denis Jacquemin, Boris Le Guennic
Searching for new borondifluoride β-diketonate complexes with enhanced absorption/emission properties using ab initio tools
2018
Bioorganic & Medicinal Chemistry Letters
Izidor Sosič, Ana Mitrović, Hrvoje Ćurić, Damijan Knez, Helena Brodnik Žugelj, Bogdan Štefane, Janko Kos, Stanislav Gobec
Cathepsin B inhibitors: Further exploration of the nitroxoline core
2018
Scientia Pharmaceutica
Muamer Dizdar, Danijela Vidic, Franc Požgan, Bogdan Štefane, Milka Maksimović
Acetylcholinesterase Inhibition and Antioxidant Activity of N-trans-Caffeoyldopamine and N-trans-Feruloyldopamine
2018
European Polymer Journal
Urša Štanfel, Brank Alič, Anja Kristl, Aleš Ručigaj, Uroš Grošelj, Franc Požgan, Matjaž Krajnc, Bogdan Štefane, Urška Šebenik, Jurij Svete
Synthesis of polyenaminones by acid-catalysed amino–enaminone ‘click’ polymerisation
2018
Molecules
Franc Požgan, Hamad H. Al Mamari, Uroš Grošelj, Jurij Svete, Bogdan Štefane
Synthesis of Non-Racemic Pyrazolines and Pyrazolidines by [3+2] Cycloadditions of Azomethine Imines
2018
Zeitschrift für Naturforschung B, A journal of chemical sciences
Eva Pušavec Kirar, Uroš Grošelj, Amalija Golobič, Franc Požgan, Sebastijan Ričko, Bogdan Štefane, Jurij Svete
Synthesis of functionalized pyrazole derivatives by regioselective [3+2] cycloadditions of N-Boc-α-amino acid-derived ynones
2018
Organic Letters
Miha Drev, Uroš Grošelj, Bine Ledinek, Franc Perdih, Jurij Svete, Bogdan Štefane, Franc Požgan
Ruthenium(II)-Catalyzed Microwave-Promoted Multiple C–H Activation in Synthesis of Hexa(heteroaryl)benzenes in Water
2018
ChemCatChem
Miha Drev, Uroš Grošelj, Bine Ledinek, Franc Perdih, Jurij Svete, Bogdan Štefane, Franc Požgan
Microwave‐Promoted ortho‐C−H Bond (Hetero)arylation of Arylpyrimidines in Water Catalyzed by Ruthenium(II)−Carboxylate
2018
Chemistry of Heterocyclic Compounds
Uroš Grošelj, Jurij Svete, Hamad H. Al Mamari, Franc Požgan, Bogdan Štefane
Metal-catalyzed [3+2] cycloadditions of azomethine imines
2018
Synthesis
Uroš Grošelj, Franc Požgan, Bogdan Štefane, Jurij Svete
Copper-Catalyzed Azomethine Imine–Alkyne Cycloadditions (CuAIAC)
2018
Advanced Synthesis & Catalysis
Sebastijan Ričko, Anže Meden, Luka CIber, Bogdan Štefane, Franc Požgan, Jurij Svete, Uroš Grošelj
Construction of Vicinal Tetrasubstituted Stereogenic Centers via a Mannich‐Type Organocatalyzed Addition of Δ2‐Pyrrolin‐4‐ones to Isatin Imines


2017
Acta Chimica Slovenica
Mojca Juteršek, Marina Klemenčič, Marko Dolinar
Discrimination between Synechocystis members (Cyanobacteria) based on heterogeneity of their 16S rRNA and ITS regions
2017
Scientific Reports
Andreja Vanzo, Lucija Janeš, Franc Požgan, Špela Velikonja Bolta, Paolo Sivilotti, Klemen Lisjak
UHPLC-MS/MS determination of varietal thiol precursors in Sauvignon Blanc grapes
2017
Dyes and Pigments
Bogdan Štefane, Franc Požgan, Eunsun Kim, Eun-Young Choi, Jean-Charles Ribierre, Jeong Weon Wu, Miguel Ponce-Vargas, Boris Le Guennic, Denis Jacquemin, Gabriel Canard, Elena Zaborova, Frédéric Fages, Anthony D'Aléo
Ethynylene-analogues of hemicurcuminoids: Synthesis and ground- and excited properties of their boron difluoride complexes
2017
ACS Catalysis
Fabian Lied, Helena Brodnik Žugelj, Steffen Kress, Bogdan Štefane, Frank Glorius, Mark Lautens
Employing Pd-Catalyzed C–H Arylation in Multicomponent-Multicatalyst Reactions (MC)2R: One-Pot Synthesis of Dihydrobenzoquinolines
2017
Sensors
Drago Strle, Bogdan Štefane, Mario Trifković, Marion Van Midden, Ivan Kvasić, Erik Zupanič, Igor Muševič
Chemical Selectivity and Sensitivity of a 16-Channel Electronic Nose for Trace Vapour Detection
2017
Acta Chimica Slovenica
Branislav Lukić, Uroš Grošelj, Marko Novinec, Jurij Svete
Synthesis of novel 5-(N-Boc-N-benzyl-2-aminoethyl)-7-oxo-4,7-dihydropyrazolo[1,5-a]pyrimidin-3-carboxamides and their inhibition of Cathepsins B and K
2017
Acta Chimica Slovenica
Jaka Glavač, Georg Dahmann, Franc Požgan, Sebastijan Ričko, Bogdan Štefane, Jurij Svete, Uroš Grošelj
Synthesis of novel 3D-rich α-amino acid-derived 3-pyrazolidinones
2017
Acta Chimica Slovenica
Uroš Grošelj, Amalija Golobič, Jurij Svete, Sebastijan Ričko
Synthesis and reduction of 10-phthalimidocamphor oxime
2017
ChemCatChem
Petra Kuzman, Franc Požgan, Anton Meden, Jurij Svete, Bogdan Štefane
Synthesis and Reactivity of 2‐Arylquinazoline Halidoruthenacycles in Arylation Reactions
2017
European Journal of Organic Chemistry
Bogdan Štefane, Helena Brodnik Žugelj, Uroš Grošelj, Petra Kuzman, Jurij Svete, Franc Požgan
Quinazoline‐Directed C–H Bond Functionalization Catalyzed by Ruthenium(II) Carboxylate – Construction of Polyconjugated Aryl‐Heteroaryl Systems
2017
Advanced Synthesis & Catalysis
Sebastijan Ričko, Anže Meden, Anže Ivančič, Andrej Perdih, Bogdan Štefane, Jurij Svete, Uroš Grošelj
Organocatalyzed Deracemization of Δ2‐Pyrrolin‐4‐ones
2017
Acta Chimica Slovenica
Klemen Strojan, Jasna Lojk, Vladimir Boštjan Bregar, Mateja Erdani-Kreft, Jurij Svete, Peter Veranič, Mojca Pavlin
In vitro assessment of potential bladder papillary neoplasm treatment with functionalized polyethyleneimine coated magnetic nanoparticles
2017
PloS One
Klemen Strojan, Adrijana Leonardi, Vladimir Boštjan Bregar, Igor Križaj, Jurij Svete, Mojca Pavlin
Dispersion of Nanoparticles in Different Media Importantly Determines the Composition of Their Protein Corona
2017
Tetrahedron
Jona Mirnik, Eva Pušavec Kirar, Sebastijan Ričko, Uroš Grošelj, Amalija Golobič, Franc Požgan, Bogdan Štefane, Jurij Svete
Cu(0)-catalysed 1,3-dipolar cycloadditions of α-amino acid derived N,N-cyclic azomethine imines to ynones
2017
ACS Combinatorial Science
Urša Štanfel, Uroš Grošelj, Marta Počkaj, Franc Požgan, Bogdan Štefane, Jurij Svete
Combinatorial Synthesis of Acacen-Type Ligands and Their Coordination Compounds
2017
Acta Chimica Slovenica
Bogdan Štefane, Uroš Grošelj, Jurij Svete, Franc Požgan
Asymmetric Bio- and Chemoreduction of 2-Benzylidenecyclopentanone Derivatives


2016
Current Genetics
Marina Klemenčič, Marko Dolinar
Orthocaspase and toxin-antitoxin loci rubbing shoulders in the genome of Microcystis aeruginosa PCC 7806
2016
Chemistry Open
Giorgio Mirri, Daniël C. Schoenmakers, Paul H. J. Kouwer, Peter Veranič, Igor Muševič, Bogdan Štefane
Synthesis of Functional Fluorescent BODIPY‐based Dyes through Electrophilic Aromatic Substitution: Straightforward Approach towards Customized Fluorescent Probes
2016
Organic and Biomolecular Chemistry
Helena Brodnik Žugelj, Franc Požgan, Bogdan Štefane
Synthesis of 8-heteroaryl nitroxoline analogues via one-pot sequential Pd-catalyzed coupling reactions
2016
Topics in Current Chemistry
Bogdan Štefane, Franc Požgan
Metal-Catalysed Transfer Hydrogenation of Ketones
2016
Zeitschrift für Naturforschung B, A journal of chemical sciences
Miha Drev, Uroš Grošelj, Jurij Svete
Transformations of β-aryl-N-Cbz-α,β-didehydro-α-amino esters with hydrazine hydrate
2016
Journal of Organic Chemistry
Eva Pušavec Kirar, Miha Drev, Jona Mirnik, Uroš Grošelj, Amalija Golobič, Georg Dachmann, Franc Požgan, Bogdan Štefane, Jurij Svete
Synthesis of 3D-Rich Heterocycles: Hexahydropyrazolo[1,5-a]pyridin-2(1H)-ones and Octahydro-2H-2a,2a1-diazacyclopenta[cd]inden-2-ones
2016
Journal of Organic Chemistry
Luka Šenica, Karmen Stopar, Miha Friedrich, Uroš Grošelj, Janez Plavec, Marta Počkaj, Črtomir Podlipnik, Bogdan Štefane, Jurij Svete
Synthesis and Rotational Isomerism of 1-Substituted Methyl (S)-[5-(2-Nitrophenyl)-1H-pyrazole-4-carbonyl]alaninates
2016
Molecular Diversity
Uroš Grošelj, Amalija Golobič, Damijan Knez, Martina Hrast, Stanislav Gobec, Sebastijan Ričko, Jurij Svete
Synthesis and preliminary biological evaluations of (+)-isocampholenic acid-derived amides
2016
Zeitschrift für Naturforschung B, A journal of chemical sciences
Rok Šinkovec, Uroš Grošelj, Benjamin Prek, Marta Počkaj, Sebastijan Ričko, Jurij Svete, Branko Stanovnik
A simple synthesis of dimethyl 2-[(Z)-3-amino-1-oxo-1-(substituted)but-2-en-2-yl]fumarates: potential intermediates in the synthesis of polysubstituted five- and six-membered heterocycles
2016
Advanced Synthesis & Catalysis
Sebastijan Ričko, Jurij Svete, Bogdan Štefane, Andrej Perdih, Amalija Golobič, Anže Meden, Uroš Grošelj
1,3‐Diamine‐Derived Bifunctional Organocatalyst Prepared from Camphor
2016
Journal of Organic Chemistry
Eva Pušavec Kirar, Uroš Grošelj, Giorgio Mirri, Franc Požgan, Gregor Strle, Bogdan Štefane, Vasko Jovanovski, Jurij Svete
“Click” Chemistry: Application of Copper Metal in Cu-Catalyzed Azomethine Imine–Alkyne Cycloadditions
2016
Journal of Organic Chemistry
Eva Pušavec Kirar, Uroš Grošelj, Amalija Golobič, Franc Požgan, Stefan Pusch, Carina Weber, Lars Andernach, Bogdan Štefane, Till Opatz, Jurij Svete
Absolute Configuration Determination of 2,3-Dihydro-1H,5H-pyrazolo[1,2-a]pyrazoles Using Chiroptical Methods at Different Wavelengths


2015
Molecular Microbiology
Marina Klemenčič, Marko Novinec, Marko Dolinar
Orthocaspases are proteolytically active prokaryotic caspase homologues: the case of Microcystis aeruginosa
2015
Current Organic Chemistry
Uroš Grošelj
Camphor-Derivatives in Asymmetric Organocatalysis – Synthesis and Application
2015
New Journal of Chemistry
Bogdan Štefane, Franc Perdih, Aleksander Višnjevac, Franc Požgan
Novel triazole-based ligands and their zinc(II) and nickel(II) complexes with a nitrogen donor environment as potential structural models for mononuclear active sites
2015
Industrial Crops and Products
Sanja Ćavar Zeljković, Anela Topčagić, Franc Požgan, Bogdan Štefane, Petr Tarkowski, Milka Maksimović
Antioxidant activity of natural and modified phenolic extracts from Satureja montana L.
2015
Chirality
Sebastijan Ričko, Amalija Golobič, Jurij Svete, Branko Stanovnik, Uroš Grošelj
Synthesis of Novel Camphor‐Derived Bifunctional Thiourea Organocatalysts
2015
Heterocycles
Uroš Grošelj, Jurij Svete
Synthesis of Novel (S)-N-Boc-3-Pyrazolylalanine-Derived α-Amino Acids
2015
Synthesis
Klara Lombar, Uroš Grošelj, Georg Dahmann, Branko Stanovnik, Jurij Svete
Synthesis of 6-Alkyl-7-oxo-4,5,6,7-tetrahydropyrazolo[1,5-c]pyrimidine-3-carboxamides
2015
Tetrahedron
Uroš Grošelj, Eva Pušavec Kirar, Amalija Golobič, Georg Dahmann, Branko Stanovnik, Jurij Svete
Synthesis of 1,5-disubstituted-4-oxo-4,5-dihydro-1H-pyrazolo[4,3-c]pyridine-7-carboxamides
2015
ARKIVOC
Uroš Grošelj, Jurij Svete
Recent advances in the synthesis of polysubstituted 3-pyrazolidinones
2015
Australian Journal of Chemistry
Benjamin Prek, Uroš Grošelj, Marta Počkaj, Silvo Zupančič, Jurij Svete, Branko Stanovnik
Reactions of Methyl Ketones and (Hetero)arylcarboxamides with N,N-Dimethylacetamide Dimethyl Acetal. A Simple Metal-Free Synthesis of 2,4,6-Trisubstituted Pyridines
2015
Journal of Heterocyclic Chemistry
Mladena Milošević, Ines Šterbal, Urban Feguš, Jernej Baškovč, Benjamin Prek, Uroš Grošelj, Branko Stanovnik, Jurij Svete
Microwave‐Assisted Direct Amidation of Ethyl 1‐Phenyl‐5‐hydroxy‐1H‐pyrazole‐4‐carboxylate
2015
Acta Chimica Slovenica
Luka Šenica, Nejc Petek, Uroš Grošelj, Jurij Svete
A four-step synthesis of novel (S)-1-(heteroaryl)ethan-1-amines from (S)-Boc-alanine
2015
Tetrahedron letters
Jure Bezenšek, Uroš Grošelj, Marta Počkaj, Jurij Svete, Branko Stanovnik
Formation of benzocyclobutenes from substituted oxocycloocta-2,8-diene-1,2-dicarboxylates
2015
Tetrahedron
Jure Bezenšek, Benjamin Prek, Uroš Grošelj, Marta Počkaj, Jurij Svete, Branko Stanovnik
[2+2] cycloadditions of electron-poor acetylenes to endocyclic enaminones : ring expansion reactions